מתמטיקה לכיתה ז' - שפרו את השליטה בכל הנושאים הנלמדים בכיתה

בכיתה ז' רמת העומס במתמטיקה עולה, ונלמדים חומרים מורכבים כגון: משוואות עם שברים, ביטויים אלגבריים, חוקיות, חזקות ומספרים מכוונים.

ערכת התרגול במתמטיקה לכיתה ז' כוללת קובצי למידה ותרגילים של בכל 12 הנושאים הנלמדים בכיתה ז'. הערכה תחזק את רמת השליטה של ילדיכם בחומר, ותאפשר להם לעמוד בקצב הלימוד הגבוה המאפיין את לימודי המתמטיקה בחטיבת הביניים.


מתמטיקה: ערכת תרגול לכיתה ז


הערכה כוללת מערכי שיעור ומקבצי תרגול בכל חומרי הלימוד במתמטיקה לתלמידי כיתה ז':

בתחום המספרי: שברים, סדר פעולות חשבון, חזקות, שורשים ומספרים מכוונים.

בתחום האלגברי: משתנים, ביטויים אלגבריים, משוואות בנעלם אחד, שאלות מילוליות וחוקיות בסדרות.

בתחום הגיאומטרי: מערכת צירים, זוויות, ריבוע, מלבן, משולש, מקבילית, טרפז, תיבה, מנסרה ומעגל.

למה כדאי לתלמידי כיתה ז' להיעזר בערכת תרגול?

  • תרגול נוסף לאורך השנה בליווי מקצועי יגדיל את סיכויי ההצלחה של התלמידים במתמטיקה בכיתה ז'.
  • תרגול בערכה יאפשר לתלמידים לחזור על הנושאים הנלמדים בכיתה תוך רכישת כלים לפתרון מגוון שאלות.
  • קובצי הלמידה בערכה יסייעו לתלמידים להבין את כל נושאי הלימוד עד הסוף ולהימנע מפתיחת פערים.
  • בניגוד לספרי לימוד סטנדרטיים, הערכה כוללת פתרונות מלאים לכל תרגיל כך שהתלמידים יוכלו להבחין היכן טעו.
  • הערכה מאפשרת לתלמידים ללמוד בקצב שלהם ולהקדים את הכיתה בחומר הלימוד.
  • הלמידה בערכה מתבצעת אונליין - ניתן ללמוד בכל מקום ובכל זמן מהטלפון, מהמחשב או מהטאבלט.

רוצים להציץ בשאלות לדוגמא מתוך הערכה? לחצו כאן.


מה הערכה כוללת?

ערכת התרגול נבנתה על ידי על ידי צוות הפיתוח וההוראה של מכון נועם, לפי חוזר מפמ"ר מתמטיקה לשנת תשפ"ה. הערכה מחולקת ל-12 פרקים בהתאם ל-12 הנושאים הנלמדים בכיתה ז', וכל פרק כולל 3 חלקים:

  1. מערכי שיעור - כל פרק בערכה נפתח במערכי שיעור בנושא הפרק. מערכי השיעור נועדו לאפשר לתלמידים לחזור על החומר הנלמד בכיתה, או ללמוד אותו מההתחלה. מערכי השיעור כוללים הסברים מקיפים על נושא הפרק, ושיטות לפתרון התרגילים המאפיינים את הנושא הנלמד.
  2. מקבצי תרגול - מקבצי התרגול בערכה נועדו לסייע לתלמידים להפנים את החומר הנלמד, ולשפר את מיומנויותיהם בפתרון תרגילים. כל פרק כולל כמה מקבצי תרגול, בהתאם להיקפו ולמספר הנושאים המשניים הנלמדים בו. מקבצי התרגול בפרק מסודרים לפי רמת מורכבותם - המקבצים ברמה הבסיסית מופיעים בראש הפרק והמקבצים המורכבים ביותר מופיעים בסופו. כל מקבץ תרגול כולל כ-10 שאלות, חלקן שאלות רב-ברירה (אמריקאיות) וחלקן שאלות פתוחות.
  3. דו"ח תוצאות - בתום כל מקבץ תרגול התלמידים יקבלו דו"ח תוצאות. דו"ח התוצאות כולל ציון מסכם של המקבץ בסולם ערכים הנע בין 1 ל-10, ופתרונות מלאים של כל התרגילים במקבץ. עיון בדו"ח התוצאות יאפשר לתלמידים לזהות באיזה שלב בפתרון הם טעו, ללמוד מטעויותיהם ולהשלים את פערי ההבנה בחומר.

 

נושאי הלימוד המופיעים בערכה

כאמור, הערכה כוללת תרגול בכל 12 הנושאים הנלמדים בשיעורי מתמטיקה בכיתה ז':

  1. שברים פשוטים ועשרוניים: הגדרת השבר, 4 פעולות חשבון בשברים.
  2. בעיות מילוליות: בעיות כלליות, בעיות גיל, קנייה ומכירה, העברה, בעיות תנועה.
  3. שטח והיקף: ריבוע, מלבן, משולש, מקבילית, טרפז, שטחים מורכבים.
  4. סדר פעולות חשבון: חזקות, שורשים, חוק החילוף, חוק הפילוג.
  5. חוקיות בסדרות: סדרה קבועה, סדרה לא קבועה, סדרת מספרים ותרגילים.
  6. מספרים מכוונים: ציר המספרים, 4 פעולות חשבון במספרים מכוונים, חזקות, השמטת סוגריים.
  7. זוויות: סימון זוויות, חיבור וחיסור זוויות, חוצה זווית, זוויות קודקודיות וזוויות צמודות, זוויות בין ישרים מקבילים, סכום הזוויות במשולש.
  8. מערכת צירים: הכרת מערכת הצירים, סימון נקודות במערכת צירים, צורות וחישובים על מערכת צירים.
  9. משתנים וביטויים אלגבריים: בניית ביטויים, הצבה, כינוס איברים, חוק הפילוג.
  10. ניצבות ומקביליות: ישרים ניצבים, ישרים מקבילים.
  11. משוואות: משוואות בסיסיות, משוואות עם סוגריים, משוואות עם נעלם בשני אגפים, משוואות מיוחדות, משוואות עם שברים.
  12. תיבה וקובייה: פריסת תיבה וקובייה, שטח פנים של תיבה ושטח פנים של קובייה, נפח קובייה ונפח תיבה.

מהי הדרך המומלצת לתרגל בערכה?

גם אם ילדיכם שולטים בנושא הפרק, מומלץ להתחיל את התרגול בקריאת מערכי השיעור. קריאת מערכי השיעור מאפשרת לתלמידים לחזור על החומר, ולהתחמם לקראת התרגול. נוסף על כך, מערכי השיעור חושפים את התלמידים לכמה שיטות פתרון ומאפשרים להם לרכוש כלים חדשים להתמודדות עם התרגילים שבמקבצי התרגול.

לאחר קריאת מערכי השיעור, כדאי להתחיל לתרגל את הנושא במקבצי התרגול. מקבצי התרגול בערכה מסודרים לפי רמת מורכבותם, כך שהתרגילים הבסיסיים בנושא מופיעים בראש הפרק והתרגילים המורכבים ביותר מופיעים בסופו. אנו ממליצים לתרגל את התרגילים לפי הסדר הזה, וכן לתרגל את מקבצי התרגול המיועדים לרמת מתקדמים רק לאחר פתירת מקבצי התרגול המיועדים לרמת מתחילים. תרגול לפי הסדר המוזכר יאפשר לבנות את הידע של התלמידים באופן הדרגתי ומסודר. 

בין תרגול אחד למשנהו, חשוב לעיין בדו"ח התוצאות. דו"ח התוצאות יאפשר לכם, ההורים, לאמוד את רמת השליטה של ילדיכם בחומר הנלמד, וכן יאפשר לתלמידים להבחין באיזה שלב בפתרון הם טעו, ולהעמיק את הבנתם בחומר. נוסף על כך, עיון בדו"ח התוצאות עשוי לחשוף את התלמידים לשיטות פתרון יעילות יותר, ובכך לשכלל את כישוריהם במתמטיקה.


שאלות לדוגמה מתוך ערכת התרגול

בעיית תנועה

המרחק בין ת"א לחיפה הוא 80 ק"מ.
אייל יצא לדרך ברכבו מחיפה לת"א במהירות מסוימת.
עדו יצא לדרך באופנוע מת"א לחיפה במהירות הקטנה ב-10 קמ"ש מהמהירות של רכבו של אייל.
אייל ועדו נפגשו לאחר שעתיים.

מה המרחק שעבר עדו ומה המרחק שעבר אייל עד לפגישה?

שלב ראשון: ציר

נסמן את הנתונים ואת כיווני הנסיעה על ציר תנועה:

שימו לב כי החיצים של אייל ועדו יוצאים מחיפה ומתל אביב בהתאמה, ומסתיימים בנקודת המפגש ביניהם.

שלב שני: טבלת תנועה

נכתוב את זמני הנסיעה של אייל ועדו עד הפגישה – שעתיים.

נוסף על כך, נשתמש בנעלמים על מנת לבטא את המהירות של אייל והמהירות של עדו.
נתון כי מהירותו של עדו קטנה ב-10 קמ"ש ממהירותו של אייל.
לכן, נסמן את מהירותו של אייל ב-X ואילו את מהירותו של עדו נסמן ב-X – 10.

נכניס את הנעלמים לטבלת התנועה:

כשיש לנו שני נתונים בשורה, נשלים את הנתון השלישי על פי הנוסחה של בעיות התנועה – מהירות זמן = דרך:

שלב שלישי: ציר ומשוואות

קיבלנו ביטויים עבור המרחק שאייל עבר והמרחק שעדו עבר. נכתוב את הביטויים הללו על הציר שציירנו בתחילת התרגיל וננסה לבנות בעזרתו משוואה:

ניתן לראות כי שני החיצים המייצגים את המרחקים שאייל ועדו עברו, משלימים יחד את הדרך כולה – 80 ק"מ. לכן נבנה את המשוואה כך:

לאחר שפתרנו את המשוואה ומצאנו את X, עלינו לרשום תשובה מילולית לשאלה. נחזור לשאלה כדי לבדוק מה שאלו אותנו:
"מה המרחק שעבר עדו ומה המרחק שעבר אייל עד לפגישה?"

הדרך של אייל מסומנת בטבלה כ-2X. נציב את X שמצאנו ונגלה את המרחק שעבר אייל:

הדרך של עדו מסומנת בטבלה כ-(X – 10)2. נציב את X שמצאנו ונגלה את המרחק שעבר עדו:

לסיכום, אייל עבר 50 ק"מ ועדו עבר 30 ק"מ.


בעיה מילולית

אב מבוגר פי 6 מבנו.
בעוד 12 שנים, יהיה האב מבוגר פי 3 מבנו.

מצאו את גילי האב והבן כיום.

השאלה עוסקת בשני אנשים – האב והבן.

כמו כן, השאלה עוסקת בשתי תקופות – היום ובעוד 12 שנים.

נסמן את גיל הבן כיום כ- X (מכיוון שהוא הקטן מבינם), ונסמן בהתאם את גיל האב כ-6X (כי האב גדול מבנו פי 6).

נבנה טבלה המתאימה לבעיה ונכתוב בתוכה את הנעלמים:

כדי למלא את העמודה החסרה בטבלה, נוסיף לגיל האב ולגיל הבן עוד 12 שנים:

כעת נעבור לבניית המשוואה.

הנתון "המיותר" שלנו הוא שבעוד 12 שנים גיל האב יהיה גדול פי 3 מגיל בנו.

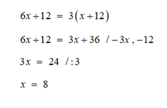
הנתון מתייחס לתקופה השנייה בתרגיל – בעוד 12 שנים. לפי הנתון, בתקופה הזו גיל האב [ 6X + 12 ], יהיה גדול פי 3 מגיל בנו [ X + 12 ].

בתרגילים שבהם הנתון "המיותר" עוסק בכך שאיבר אחד גדול או קטן מאיבר אחר, נצטרך ליצור שוויון בין שני האיברים כדי לבנות משוואה.

כדי ליצור שוויון נשאל את עצמנו:

  • איזה האיברים קטן יותר? בדוגמה הזאת התשובה היא גיל הבן [ X + 12 ].
  • בכמה או פי כמה הוא קטן יותר? בתרגיל הזה גיל הבן קטן פי 3 מגיל האב.

אז, נגדיל את האיבר הקטן לפי התשובה לשאלה השנייה (במקרה שלנו פי 3), וכך הוא יהיה שווה בגודלו לאיבר הגדול:

כעת נוכל להשלים את הנתונים בטבלה:

מצאנו את גיל האב וגיל הבן כיום!

זכרו לרשום תשובה מילולית – היום, האב בן 48 ובנו בן 8.


בעיית ביטויים אלגבריים

נתבונן בסדרת העיגולים הבאה:

א. כמה עיגולים יהיו באיבר הרביעי ובאיבר החמישי?
ב. באיזה איבר יהיו 21 עיגולים?
ג. בטאו באמצעות n את חוקיות הסדרה (בניית ביטוי אלגברי)

א. נבדוק האם הסדרה גדלה או קטנה במספר מסוים:

ניתן לראות שלכל איבר עוקב נוספים 2 עיגולים.

לכן באיבר הרביעי יהיו 9 עיגולים, ובאיבר החמישי 11 עיגולים.

ב. נכתוב את איברי הסדרה ואת מיקומם בסדרה בטבלה עד שנגיע ל-21 עיגולים:

ג. כעת נבטא באמצעות n את חוקיות הסדרה.

n מייצג את מיקום האיבר. למשל: באיבר הראשון n=1, באיבר השני n=2, באיבר השלישי n=3 וכן הלאה.

נסתכל שוב על הסדרה

בניית הביטוי האלגברי לחוקיות הסדרה תיעשה לפי התבנית הבאה:

נתחיל מהקפיצה – לכל איבר עוקב נוספים 2 עיגולים. לכן הביטוי האלגברי יתחיל ב-2n.

כעת נבדוק כמה צריך להוסיף ל-2 (הקפיצה שלנו) על מנת להגיע לכמות הכדורים באיבר הראשון.

באיבר הראשון יש 3 כדורים, לכן נצטרך להוסיף לביטוי את המספר 1:

2n+1

וזהו הביטוי האלגברי לחוקיות הסדרה.



Close